ARITMÉTICA MATRICIAL (SUMA, MULTIPLICACIÓN)
SUMA
La unión de dos o más matrices solo puede hacerse si dichas matrices
tienen la misma dimensión. Cada elemento de las matrices puede sumarse con los
elementos que coincidan en posición en diferentes matrices.
En
otras palabras, cuando sumamos matrices nos vamos a fijar en:
1. 1 Las matrices compartan
la misma dimensión.
2. 2 Sumar los elementos
con la misma posición en matrices distintas
primero comprobamos que sean matrices de igual dimensión. En este caso,
son dos matrices 2×2. A continuación, sumamos los elementos que tienen las
mismas coordenadas. Por ejemplo, (d) y (h) comparten la misma posición en
matrices distintas. La posición, denotada como P, para (d) y (h) es P22.
MULTIPLICACIÓN
la
multiplicación de matrices cumple la propiedad no conmutativa, es decir,
importa el orden de los elementos durante la multiplicación. Existen casos
llamados matrices conmutativas que sí cumplen la propiedad.
Sean R y X dos
matrices no conmutativas, implica que:
RX ≠ XR
Sean R’ y X’ dos
matrices conmutativas, implica que:
RX=XR
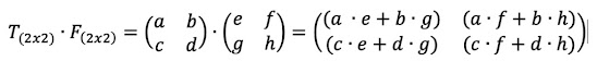
Para
multiplicar dos matrices necesitamos que el número de columnas de la primera
matriz sea igual al número de filas de la segunda matriz.
El
orden de multiplicación sería tomar la primera fila de la matriz T,
multiplicarla por la primera columna de la matriz F y sumar sus elementos.
Podemos multiplicar una matriz por un
escalar z cualquiera. En este
caso z=2.
Cada elemento de la matriz queda
multiplicado por el escalar z=2.


